Breaking News

Update Covid-19 Bangka Belitung Senin (9/11/2020) Siang: Tercatat Tak Ada Kasus Baru dan 582 Sembuh

Update Covid-19 Bangka Belitung Senin (9/11/2020) Siang: Tercatat Tak Ada Kasus Baru dan 582 Sembuh

Darwinsyah/BangkaPos
Ilustrasi Corona Virus babel 

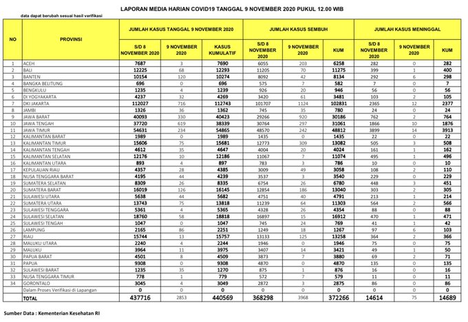
21. DI Yogyakarta
Kasus Baru: 32 orang 
Sembuh: 3.481 orang
Meninggal Dunia: 105 orang
Terkonfirmasi: 4.269 orang

22. Nusa Tenggara Barat
Kasus Baru: 44 orang
Sembuh: 3.540 orang 
Meninggal Dunia: 229 orang
Terkonfirmasi: 4.239 orang

23. Maluku
Kasus baru: 11 orang
Sembuh: 3.421 orang
Meninggal Dunia: 50 orang
Terkonfirmasi: 3.975 orang

24. Gorontalo
Kasus baru: 4 orang
Sembuh: 2.875 orang
Meninggal Dunia: 86 orang
Terkonfirmasi: 3.049 orang

25. Maluku Utara
Kasus Baru: 4 orang
Sembuh: 1.946 orang
Meninggal Dunia: 75 orang
Terkonfirmasi: 2.244 orang

26. Lampung
Kasus baru: 86 orang
Sembuh: 1.267 orang 
Meninggal Dunia: 103 orang
Terkonfirmasi: 2.251 orang

27. Kalimantan Barat
Kasus Baru: - orang
Sembuh: 1.435 orang 
Meninggal Dunia: 22 orang
Terkonfirmasi: 1.989 orang

28. Jambi
Kasus Baru: 36 orang
Sembuh: 780 orang
Meninggal Dunia: 24 orang
Terkonfirmasi: 1.362 orang

29. Sulawesi Barat
Kasus Baru: 35 orang
Sembuh: 876 orang
Meninggal Dunia: 16 orang
Terkonfirmasi: 1.270 orang

30. Bengkulu
Kasus Baru: 4 orang
Sembuh: 946 orang
Meninggal Dunia: 56 orang
Terkonfirmasi: 1.239 orang

31. Sulawesi Tengah
Kasus Baru: - orang
Sembuh: 769 orang
Meninggal Dunia: 42 orang
Terkonfirmasi: 1.047 orang

32. Kalimantan Utara
Kasus baru: 4 orang
Sembuh: 786 orang
Meninggal Dunia: 10 orang
Terkonfirmasi: 897 orang

33. Nusa Tenggara Timur
Kasus baru: 1 orang
Sembuh: 579 orang
Meninggal Dunia: 11 orang
Terkonfirmasi: 779 orang

34. Kepulauan Bangka Belitung
Kasus Baru: - orang
Sembuh: 582 orang
Meninggal Dunia: 7 orang
Terkonfirmasi: 696 orang

Data kasus corona di Indonesia (Kementerian Kesehatan RI)
Data kasus corona di Indonesia (Kementerian Kesehatan RI)

Cara Pencegahan Virus Corona

Berikut 10 cara yang dapat dilakukan untuk mencegah terjangkit virus corona dilansir dari Pusat Pengendalian Penyakit AS (CDC), Kementerian Kesehatan dan WHO:

1. Menjaga kesehatan dan kebugaran agar stamina tubuh tetap prima dan sistem kekebalan tubuh meningkat.

2. Mencuci tangan dengan benar secara teratur menggunakan air dan sabun atau hand-rub berbasis alkohol.

3. Saat batuk dan bersin, tutup hidung dan mulut Anda menggunakan tisu atau lengan atas bagian dalam (bukan dengan telapak tangan).

4. Hindari kontak dengan orang lain atau bepergian ke tempat umum.

5. Hindari menyentuh mata, hidung, dan mulut (segitiga wajah).

6. Gunakan masker secara benar hingga menutupi mulut dan hidung ketika Anda sakit atau berada di tempat umum.

7. Buang tisu dan masker yang sudah digunakan ke tempat sampah secara benar, lalu cucilah tangan Anda.

8. Mununda perjalanan ke daerah atau negara di mana virus ini ditemukan.

9. Hindari berpergian ke luar rumah saat Anda merasa kurang sehat.

10. Selalu pantau perkembangan penyakit Covid-19 dari sumber resmi dan akurat.

Catatan Redaksi:

Bersama-kita lawan virus Corona.

Bangkapos.com mengajak seluruh pembaca untuk selalu menerapkan protokol kesehatan dalam setiap kegiatan. Ingat Pesan Ibu, 3M (Memakai masker, rajin Mencuci tangan, dan selalu Menjaga jarak).

( Bangkapos.com / Asmadi)

Sumber: bangkapos.com
Halaman 4 dari 4
Rekomendasi untuk Anda
Ikuti kami di

Berita Terkini

© 2025 TRIBUNnews.com Network,a subsidiary of KG Media.
All Right Reserved